class: right, middle, inverse, titular background-image: url(img/jacarandas.jpg) background-size: contain background-position: -66% 10% <!--<img style="border-radius: 50%;" src="https://raw.githubusercontent.com/spcanelon/xaringan-rladies-xalapa/master/diapositivas/img/rladies-xalapa.jpg" width="150px"/>--> <img src="img/hex-xaringan.png" width="125px"/> # Introducción al<br>paquete xaringan ## **R-Ladies Xalapa** ### Silvia Canelón, Ph.D. ### 17 diciembre, 2020 [
bit.ly/xaringan-xalapa](https://bit.ly/xaringan-xalapa) <br>[
diapositivas ](https://spcanelon.github.io/xaringan-rladies-xalapa/diapositivas/introduccion-xaringan.html) --- name: saludo layout: false class: inverse, middle, center # Sobre mí <img style="border-radius: 50%;" src="https://silvia.rbind.io/authors/silvia/avatar.png" width="150px"/> ## Silvia Canelón 🇻🇪 ### Investigadora Postdoctoral .fade[University of Pennsylvania<br>Philadelphia, PA, USA] [
silvia.rbind.io](https://silvia.rbind.io) [
@spcanelon](https://twitter.com/spcanelon) [
@spcanelon](https://github.com/spcanelon) --- class: center, middle # Agradecimientos ---- -- <img src="img/rladies-xalapa.jpg" width="150px" /><br> ## [R-Ladies Xalapa](https://www.meetup.com/rladies-xalapa) -- ### [📦 xaringan](https://github.com/yihui/xaringan#xaringan): Hoy usaremos el [tema de R-Ladies](https://alison.rbind.io/post/2017-12-18-r-ladies-presentation-ninja/) -- ### [📦 xaringanExtra](https://github.com/gadenbuie/xaringanExtra/#xaringanExtra): Presiona la tecla "O" para ver todas las diapositivas a la vez 😉 --- name: pregunta class: inverse, middle, center {{content}} --- template: pregunta
# ¿Cómo creamos<br>presentaciones impresionantes con R? -- ---- ## Con la ayuda de... -- ### remark.js -- ### xaringan -- ### CSS --- ## remark.js ---- .pull-left[ .center[ ### <i class="fab fa-js fa-3x"></i><br>JavaScript ### **y** ### <i class="fab fa-markdown fa-3x"></i><br>Markdown ] ] .pull-right[ > Una herramienta sencilla para presentaciones de diapositivas basadas en Markdown a traves del navegador web. <iframe src="https://remarkjs.com" width="100%" height="375px" data-external="1"></iframe> [https://remarkjs.com](https://remarkjs.com) ] --- ## xaringan ---- .pull-left[ .center[  **xaringan** es un paquete que le presenta<br>`remark.js` a R Markdown  ]] .pull-right[ <iframe src="https://slides.yihui.org/xaringan" width="100%" height="400px" data-external="1"></iframe> [https://slides.yihui.org/xaringan](https://slides.yihui.org/xaringan) ] --- ## CSS ---- **CSS** significa **C**ascading **S**tyle **S**heet y es una hoja de estilo que convierte... .pull-left[ Contenido HTML que es funcional, pero aburrido... <img src="img/ej-sin-css.png" alt="imagen de una diapositiva en blanco y negro y con la fuente Times New Roman que viene estándar en páginas web" width="100%" style="border:2px solid rgba(136, 57, 138, 0.3)"/> ] .pull-right[ ...¡en contenido HTML con estilo! 😎 <img src="img/ej-con-css.png" alt="imagen de una diapositiva en color y con una fuente personalizada" width="100%" style="border:2px solid rgba(136, 57, 138, 0.3)"/> ] ??? Remark nos ayuda a: - crear una diapositiva nueva (usando sintaxis de Markdown y propiedades de la diapositiva); - formatear la diapositiva (p.ej. con alineación del texto); - y presentar (usando atajos de teclado) --- template: pregunta
# ¿Cómo creamos una presentacion? -- ---- ## **Primera opción:** Crear una presentación desde cero -- ## **Segunda opción:** Usar la plantilla hecha para R-Ladies Xalapa ###
[tutorial/ejemplo-de-diapositivas.Rmd](https://github.com/spcanelon/xaringan-rladies-xalapa/blob/master/tutorial/ejemplo-de-diapositivas.Rmd) --- ##
Creando una presentación desde cero .pull-left[ ### 1\. 📄 New File ### 2\. 📄 New R Markdown <img src="img/rmd-xaringan-1.png" alt="el camino dentro de RStudio para crear un nuevo archivo RMarkdown es File > New File, R Markdown" width="75%"/> ] -- .pull-right[ ### 3\. 📝 From Template
Ninja Presentation <img src="img/rmd-xaringan-2.png" alt="en la nueva ventana, selecciona From Template y luego Ninja Presentation" width="75%"/> ### 4\. 💾 ¡Ahora guarda tu nuevo documento! ] --- name: en-vivo background-color: var(--morado-claro) class: middle, center, inverse
# Demo en vivo --- template: en-vivo ## ¡Comencemos! --- ##
Usar la plantilla hecha para R-Ladies Xalapa ### YAML ```yaml --- title: "Título de la Presentación" subtitle: "Subtítulo de la Presentación" author: "Nombre de la autora" institute: "R-Ladies Xalapa" date: "Fecha" output: xaringan::moon_reader: # ¡Ojo -- nuevo tipo de salida! * css: * - default # el archivo CSS del tema predeterminado para xaringan * - rladies # el archivo CSS del tema R-Ladies * - rladies-fonts # el archivo CSS de fuentes del tema R-Ladies lib_dir: libs # crea un directorio para bibliotecas * seal: false # false: permite crear una diapositiva de título personalizada nature: highlightStyle: github # resalta sintaxis para los bloques de código highlightLines: true # true: permite resaltar líneas de código countIncrementalSlides: false # false: diapositivas incrementales no aumentarán la cuenta * ratio: "4:3" # proporción: "16:9" para un tamaño de pantalla ancha --- ``` --- ##
Usar la plantilla hecha para R-Ladies Xalapa ### El bloque de configuración ("setup") ```r library(knitr) # paquete que trae funciones utiles para R Markdown library(tidyverse) # paquete que trae varios paquetes comunes en el tidyverse library(datos) # paquete que viene con datos populares traducidos al español :) library(fontawesome) # paquete para iconos library(emo) # paquete para emojis # opciones predeterminadas knitr::opts_chunk$set(echo = FALSE, # FALSE: los bloques de código NO se muestran dpi = 300, # asegura gráficos de alta resolución warning = FALSE, # los mensajes de advertencia NO se muestran error = FALSE) # los mensajes de error NO se muestran ``` --
El bloque de configuración no se muestra en ninguna diapositiva gracias a la opción `include = FALSE` --
El contenido para la primera diapositiva comienza justo debajo de los tres guiones (`---`) al final del YAML --- ##
¡Vamos a generar las diapositivas! ### ¡Con la función del Moon Reader (_lector de luna?_) podemos ver cambios en tiempo real! -- **Primera opción**. Ejecute la función xaringan `infinite_moon_reader()` o `inf_mr()` en tu consola 🚀 ```r xaringan::inf_mr() ``` -- **Segunda opción**. Accede la función usando el menu en RStudio: **Addins >> XARINGAN Infinite Moon Reader** --- template: en-vivo ## ¡A generar las diapositivas! --- # Sintaxis de xaringan ### ¿Qué notas en el código que te parece conocido? -- .pull-left[ ### Tal vez conocido de **Markdown** - Encabezados (#, ##, ###) - **Negrita** y _cursiva_ - Enlaces con `[]()` - Listas de puntos que se pueden crear con `-`, `+`, or `*` - Listas enumeradas que se pueden crear con `1.` ] -- .pull-right[ ### Esto no es tan conocido, y viene de **remark.js** - La primera diapositiva comienza después del YAML - Diapositivas se separan una de otra con<br>tres guiones (`---`) - Diapositivas incrementales se separan con<br>dos guiones (`--`) - Contenido de la diapositiva se separa de las notas de la presentadora con tres signos de interrogación (`???`) ] --- template: en-vivo ##
Examinemos las diapositivas ejemplares con más detalle --- template: pregunta
# ¿Cómo introducimos contenido interesante? -- ---- ###
ubicación -- ###
imagenes --- name: ubicacion ##
Ubicación --- template: ubicacion ### Alinear una dispositiva entera .left-column[ Horizontalmente ```r left, # izquierda *center, # centro right # derecha ``` ---- Verticalmente ```r top, # arriba *middle, # medio bottom # abajo ``` ] -- .right-column[ ```r --- *class: center, middle # Diapositiva con contenido centrado y en el medio de la diapositiva Este contenido tambien esta centrado y en el medio de la diapositiva --- ``` .right[.morado-claro[ejemplo en la diapositiva que sigue
]] ] --- class: center, middle # Diapositiva con contenido centrado y en el medio de la diapositiva Este contenido tambien esta centrado y en el medio de la diapositiva --- template: ubicacion ### Alinear solo parte del texto .left-column[ Solamente horizontalmente ```r *.left[palabras] .center[palabras] *.right[palabras] ``` ] -- .right-column[ ```r --- class: center, middle # Diapositiva con algo de texto alineado *.left[Podemos comenzar a escribir una oración a mano izquierda...] *.right[...y terminar a mano derecha.] --- ``` .right[.morado-claro[ejemplo en la diapositiva que sigue
]] ] --- class: center, middle # Diapositiva con algo de texto alineado .left[Podemos comenzar a escribir una oración a mano izquierda...] .right[...y terminar a mano derecha.] --- template: ubicacion ### Jalar el contenido a un lado de la diapositiva .pull-left[ **La clase `.pull-left[]` (_jalar-izquierda_) jala contenido al 47% izquierdo** Como el texto arriba y la etiqueta hexagonal de abajo  ] -- .pull-right[ **La clase `.pull-right[]` (_jalar-derecha_) jala contenido al 47% derecho** Ya has visto hoy el uso de estas clases de contenido 😄 <br>  ] -- El uso de estas clases no tiene por que ocupar la diapositiva entera. Por ejemplo, puedes decidir que quieres continuar escribiendo texto que no sea jalado para ningun lado. --- template: ubicacion ### Organizar el contenido en un diseño de dos columnas .left-column[ **`.left-column[]` (_columna-izquierda_) coloca el contenido en una columna que tiene un 20% de ancho de la diapositiva** Y el texto es un poco más claro. ] -- .right-column[ **`.right-column[]` (_columna-derecha-) coloca contenido en una columna que tiene un 75% de ancho de la diapositiva** - Tambien tiene un _poquito_ de relleno por arriba - Y a diferencia de las clases de contenido `.pull` (_jalar_), estas clases de columnas estan fijas para la diapositiva entera - Estas clases de columnas estan diseñadas para usarse juntas .center[ ] ] --- template: en-vivo ##
Busquemos ejemplos de ubicación en las diapositivas ejemplares --- name: imagenes ##
Imagenes --- template: imagenes ### **Primera opción:** Markdown .pull-left[ ```markdown  ``` - opción sencilla - no es muy flexible - el tamaño de salida depende del tamaño de la imagen, pero el escalado se puede administrar mediante [macros (funciones JavaScript) personalizados](https://slides.yihui.org/xaringan/#33) - Foto tomada por [Junel Mujar](https://unsplash.com/@junelmujar) ] .pull-right[  ] --- template: imagenes ### **Segunda opción:** knitr .pull-left[ ```r knitr::include_graphics("img/jacarandas.jpg") ``` - bastante flexible - el bloque de código toma espacio - permite incluír text alternativo mediante la opción de bloque [`fig.alt`](https://www.rstudio.com/blog/knitr-fig-alt/) - ofrece [varias opciones](https://www.rdocumentation.org/packages/knitr/versions/1.30/topics/include_graphics) ] .pull-right[ <img src="img/jacarandas.jpg" width="90%" /> ] --- template: imagenes ### **Tercera opción:** HTML .pull-left[ ```html <img src="img/jacarandas.jpg" width="90%" alt="flores púrpuras"/> ``` - la opción más flexible - no tiene apariencia agradable - toma un poco de tiempo acostumbrarse [al sintaxis](https://www.w3schools.com/html/html_images.asp) - 👀 **Ojo:** Para insertar un avatar: ```html <img src="https://enlaceweb.aqui" width="150px" alt="foto de la presentadora" style="border-radius: 50%;"/> ``` ] .pull-right[ <img src="img/jacarandas.jpg" width="90%"/> ] --- template: imagenes ### Rutas de imagenes Yo recomiendo esta estructura de directorio (p.ej. ruta de archivo: `img/jacarandas.jpg`) ```r . *├── img * ├── jacarandas.jpg ├── libs ├── introduccion-xaringan.Rmd └── introduccion-xaringan.html ``` --- template: imagenes ### Background (_fondo_) Puedes usar la propiedad [background-image ](https://github.com/gnab/remark/wiki/Markdown#background-image) por debajo del separador de diapositivas (`---`) - `background-image:` (_imagen del fondo_) - `url(https://enlaceweb.aqui)` --> imagen del web - `url(img/jacarandas.jpg)` --> imagen local, usando rutas de archivos relativas - `background-size:` (_tamaño de la imagen del fondo_) - `cover` --> (_cubrir_) cambia la escala y recorta sin que quede espacio en blanco - `contain` --> (_contener_) cambia la escala solamente - `background-position:` (_posición de la imagen del fondo_) [experimenta con esta propiedad](https://css-tricks.com/almanac/properties/b/background-position/) .right[.morado-claro[¡ejemplos de `background-size` en acción!
]] --- background-image: url(img/jacarandas.jpg) class: middle, center, inverse # **Sin indicar "background-size"** **Tamaño de la imagen: 4538x3408** --- background-image: url(img/jacarandas.jpg) background-size: cover class: middle, center, inverse # **background-size: cover** ### (cubrir) --- background-image: url(img/jacarandas.jpg) background-size: contain class: middle, center, inverse # **background-size: contain** ### (contener) --- template: en-vivo ##
Busquemos ejemplos de imagenes en las diapositivas ejemplares --- template: pregunta
# ¿Qué tal contenido de R? -- ---- ###
tablas -- ###
gráficos --- name: tablas ##
Tablas --- template: tablas ### Salida directa ```r datos::pinguinos %>% head() ## # A tibble: 6 × 8 ## especie isla largo_pico_mm alto_pico_mm largo_aleta_mm masa_corporal_g sexo ## <fct> <fct> <dbl> <dbl> <int> <int> <fct> ## 1 Adelia Torge… 39.1 18.7 181 3750 macho ## 2 Adelia Torge… 39.5 17.4 186 3800 hemb… ## 3 Adelia Torge… 40.3 18 195 3250 hemb… ## 4 Adelia Torge… NA NA NA NA <NA> ## 5 Adelia Torge… 36.7 19.3 193 3450 hemb… ## 6 Adelia Torge… 39.3 20.6 190 3650 macho ## # … with 1 more variable: anio <int> ``` -- .footnote[ > El paquete [`datos` ](https://cienciadedatos.github.io/datos/) provee la traducción al español de conjuntos de datos en inglés originalmente disponibles en otros paquetes de R, como [palmerpenguins](https://allisonhorst.github.io/palmerpenguins/) > La autora principal del paquete `datos` es "R-Lady" [Riva Quiroga](https://twitter.com/rivaquiroga) 👏 ] --- template: tablas ### Tabla HTML ```r datos::pinguinos %>% head() %>% knitr::kable(format = "html") ``` <table> <thead> <tr> <th style="text-align:left;"> especie </th> <th style="text-align:left;"> isla </th> <th style="text-align:right;"> largo_pico_mm </th> <th style="text-align:right;"> alto_pico_mm </th> <th style="text-align:right;"> largo_aleta_mm </th> <th style="text-align:right;"> masa_corporal_g </th> <th style="text-align:left;"> sexo </th> <th style="text-align:right;"> anio </th> </tr> </thead> <tbody> <tr> <td style="text-align:left;"> Adelia </td> <td style="text-align:left;"> Torgersen </td> <td style="text-align:right;"> 39.1 </td> <td style="text-align:right;"> 18.7 </td> <td style="text-align:right;"> 181 </td> <td style="text-align:right;"> 3750 </td> <td style="text-align:left;"> macho </td> <td style="text-align:right;"> 2007 </td> </tr> <tr> <td style="text-align:left;"> Adelia </td> <td style="text-align:left;"> Torgersen </td> <td style="text-align:right;"> 39.5 </td> <td style="text-align:right;"> 17.4 </td> <td style="text-align:right;"> 186 </td> <td style="text-align:right;"> 3800 </td> <td style="text-align:left;"> hembra </td> <td style="text-align:right;"> 2007 </td> </tr> <tr> <td style="text-align:left;"> Adelia </td> <td style="text-align:left;"> Torgersen </td> <td style="text-align:right;"> 40.3 </td> <td style="text-align:right;"> 18.0 </td> <td style="text-align:right;"> 195 </td> <td style="text-align:right;"> 3250 </td> <td style="text-align:left;"> hembra </td> <td style="text-align:right;"> 2007 </td> </tr> <tr> <td style="text-align:left;"> Adelia </td> <td style="text-align:left;"> Torgersen </td> <td style="text-align:right;"> NA </td> <td style="text-align:right;"> NA </td> <td style="text-align:right;"> NA </td> <td style="text-align:right;"> NA </td> <td style="text-align:left;"> NA </td> <td style="text-align:right;"> 2007 </td> </tr> <tr> <td style="text-align:left;"> Adelia </td> <td style="text-align:left;"> Torgersen </td> <td style="text-align:right;"> 36.7 </td> <td style="text-align:right;"> 19.3 </td> <td style="text-align:right;"> 193 </td> <td style="text-align:right;"> 3450 </td> <td style="text-align:left;"> hembra </td> <td style="text-align:right;"> 2007 </td> </tr> <tr> <td style="text-align:left;"> Adelia </td> <td style="text-align:left;"> Torgersen </td> <td style="text-align:right;"> 39.3 </td> <td style="text-align:right;"> 20.6 </td> <td style="text-align:right;"> 190 </td> <td style="text-align:right;"> 3650 </td> <td style="text-align:left;"> macho </td> <td style="text-align:right;"> 2007 </td> </tr> </tbody> </table> --- template: tablas ### Tabla [DT](https://rstudio.github.io/DT) ```r datos::pinguinos %>% head() %>% DT::datatable() ```
--- template: tablas ### Tabla [GT](https://gt.rstudio.com/index.html) ```r datos::pinguinos %>% head() %>% gt::gt() %>% gt::tab_spanner(label = "pico", columns = vars(largo_pico_mm, alto_pico_mm)) ```
especie
isla
pico
largo_aleta_mm
masa_corporal_g
sexo
anio
largo_pico_mm
alto_pico_mm
Adelia
Torgersen
39.1
18.7
181
3750
macho
2007
Adelia
Torgersen
39.5
17.4
186
3800
hembra
2007
Adelia
Torgersen
40.3
18.0
195
3250
hembra
2007
Adelia
Torgersen
NA
NA
NA
NA
NA
2007
Adelia
Torgersen
36.7
19.3
193
3450
hembra
2007
Adelia
Torgersen
39.3
20.6
190
3650
macho
2007
--- name: graficos ##
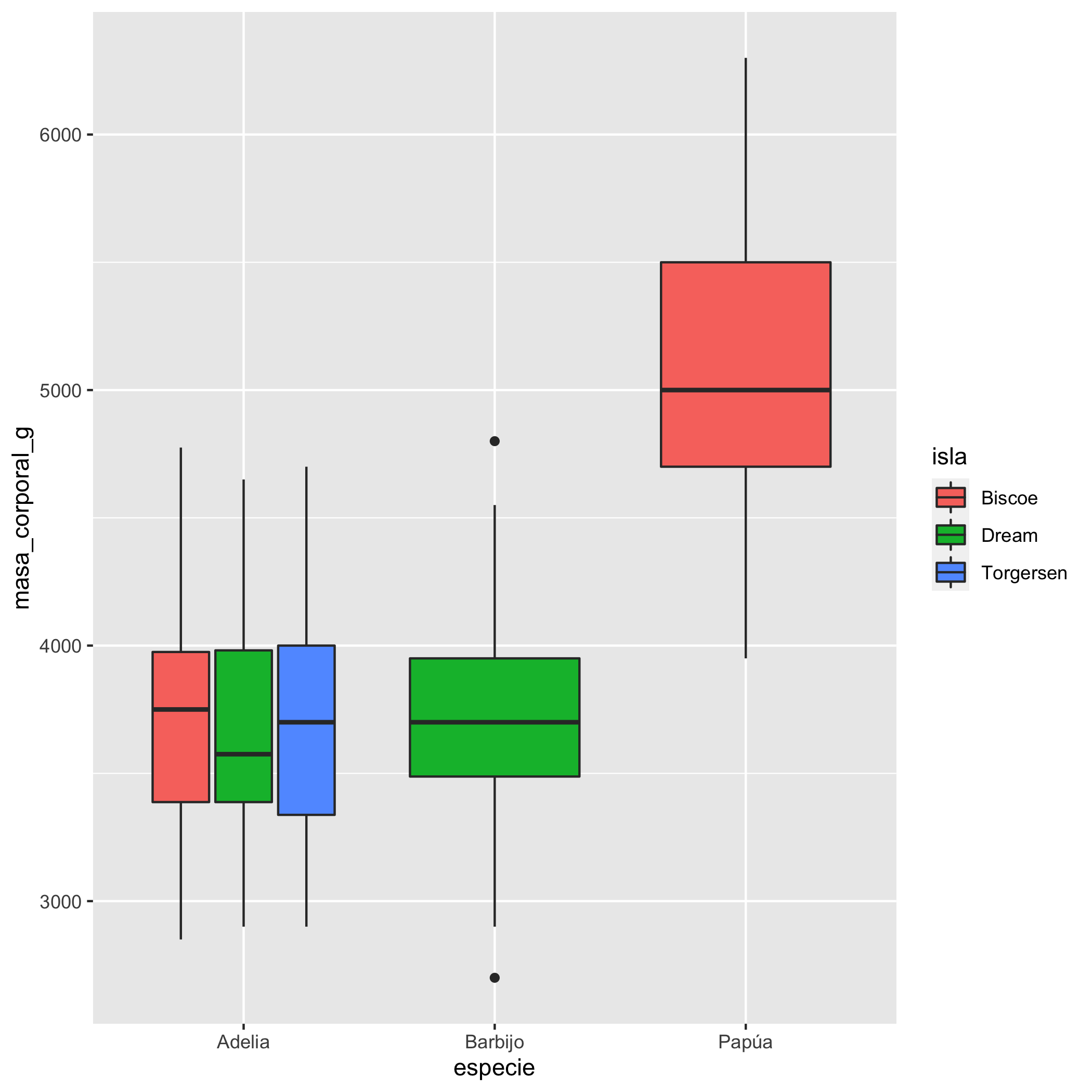
Gráficos --- template: graficos .pull-left[ ### Código ```r datos::pinguinos %>% ggplot(aes(x = especie, y = masa_corporal_g)) + geom_boxplot(aes(fill = isla)) ``` ] .pull-right[ ### Salida 😱 ¡Ah! ¿Qué pasó aquí? <!-- --> ] --- template: graficos name: grafico-derecha .pull-left[ ### Código Es común tener que [ajustar el tamaño del gráfico de salida](https://bookdown.org/yihui/rmarkdown-cookbook/figure-size.html) con opciones de bloque ("chunk options") como `fig.height` (_altura de la figura_) y `fig.width` (_ancho de la figura_) Solución con un ajuste usando `fig.height = 5`: ```` ```{r, fig.height = 5} datos::pinguinos %>% ggplot(aes(x = especie, y = masa_corporal_g)) + geom_boxplot(aes(fill = isla)) ``` ```` - **Nota:** La unidad de medida aqui es _pulgadas_ ] .pull-right[ ### Salida 😌 ¡Mucho mejor! <img src="index_files/figure-html/grafico-derecha-1.png" title="luego de ajustar la altura del grafico ahora la salida si incluye el eje x y se puede apreciar el grafico entero." alt="luego de ajustar la altura del grafico ahora la salida si incluye el eje x y se puede apreciar el grafico entero." /> ] --- template: pregunta
# ¿Cómo compartimos nuestras diapositivas? -- ### **Primera opción:** Con "self_contained: TRUE" en el YAML para
-- ### **Segunda opción:** Alojando tus archivos en un repositorio para
--- ##
Generar diapositivas independientes para compartir 1\. Agregue una línea al YAML ```yaml --- title: "Título de la Presentación" subtitle: "Subtítulo de la Presentación" author: "Nombre de la autora" institute: "R-Ladies Xalapa" date: "Fecha" output: xaringan::moon_reader: # ¡Ojo -- nuevo tipo de salida! css: - default # el archivo CSS del tema predeterminado para xaringan - rladies # el archivo CSS del tema R-Ladies - rladies-fonts # el archivo CSS de fuentes del tema R-Ladies lib_dir: libs # crea un directorio para bibliotecas seal: false # false: permite crear una diapositiva de título personalizada * self_contained: true # true: permite generar un archivo html independiente nature: highlightStyle: github # resalta sintaxis para los bloques de código highlightLines: true # true: permite resaltar líneas de código countIncrementalSlides: false # false: diapositivas incrementales no aumentarán la cuenta ratio: "4:3" # proporción: "16:9" para un tamaño de pantalla ancha --- ``` 2\. "Teje" el documento con el botón Knit de RStudio 🧶 --- template: en-vivo background: url(https://tenor.com/yPym.gif) ## ¡Vamos a compartir las diapositivas! --- ##
Generar un enlace para las diapositivas que se puede compartir ### 1\. Activa GitHub/GitLab Pages para tu repositorio para renderizar tus archivos HTML ### 2\. Determina el enlace que le corresponde a tus diapositivas, por ejemplo: http://www.github.com/spcanelon/xaringan-rladies-xalapa/blob/master/tutorial/ejemplo-de-diapositivas.html ### se convierte en **http://spcanelon.github.io/xaringan-rladies-xalapa/tutorial/ejemplo-de-diapositivas.html** ### 3\. ¡Comparte el enlace! ✅ Estos pasos funcionan para cualquier repositorio público y cualquier archivo HTML renderizado --- class: inverse, middle, left .pull-left[ > Si quieres aprender más sobre xaringan y te sientes cómoda con el inglés, puedes conseguir más en: > - El libro [R Markdown](https://bookdown.org/yihui/rmarkdown/xaringan.html) > - Mi taller extensivo titulado<br>"[Sharing Your Work with xaringan](https://spcanelon.github.io/xaringan-basics-and-beyond)" ] -- .pull-right[ <img style="border-radius: 50%;" src="https://silvia.rbind.io/authors/silvia/avatar.png" width="170px"/> # ¡Muchísimas gracias! ### Aqui es donde me puedes conseguir... .right[ [silvia.rbind.io
](https://silvia.rbind.io)<br/> [@spcanelon
](https://twitter.com/spcanelon)<br/> [@spcanelon
](https://github.com/spcanelon)<br/> ]] --- template: pregunta
# ¡Aqui comienza material extra! --- # Resaltando los bloques de código Otras opciones que ofrece **remark.js** para resaltar tu código con [highlightStyle](https://github.com/gnab/remark/wiki/Configuration#highlighting) son: + `arta`, `ascetic`, `dark`, `default`, `far`, `github`, `googlecode`, `idea`, `ir-black`, `magula`, `monokai`, `rainbow`, `solarized-dark`, `solarized-light`, `sunburst`, `tomorrow`, `tomorrow-night-blue`, `tomorrow-night-bright`, `tomorrow-night`, `tomorrow-night-eighties`, `vs`, `zenburn`. --- # Creando código+gráfico lado-a-lado Aqui aprovechamos las opciones de los bloques para evitar repetir el código<sup/>1</sup> 1. Código a la izquierda, gráfico a la derecha ([ejemplo](#grafico-derecha-error)) - Bloque 1: `{r grafico-derecha, fig.show = 'hide'}` - Bloque 2: `{r ref.label = 'grafico-derecha', echo = FALSE}` 2. Gráfico a la izquierda, código a la derecha - Bloque 1: `{r grafico-izquierda, echo = FALSE}` - Bloque 2: `{r ref.label = 'grafico-izquierda', fig.show = 'hide'}` .footnote[ 1. Estos consejos y más en la charla de Alison Hill titulada ["Teaching in Production"](https://rstudio-education.github.io/teaching-in-production/slides/index.html#46) ] --- # Agregando iconos 😄 [📦 emo(ji)](https://github.com/hadley/emo#emoji) --
[FontAwesome](https://fontawesome.com/icons?d=gallery&m=free) - Copia y pega html directamente de la página web:<br>`<i class="fas fa-code-branch"></i>`<br> - Use el [📦 fontawesome ](https://github.com/rstudio/fontawesome#the-fontawesome-package) --
[Academicons](https://jpswalsh.github.io/academicons/) <br>La forma más fácil para acceder estos iconos es con el 📦 icon --- # Fuentes de imagenes 👀 **Ojo:** Puedes utilizar la clase `.footnote[]` para acreditar la fuente de la imagen .pull-left[ - [unsplash.com](unsplash.com) - [rawpixel.com](rawpixel.com) - [pexels.com](https://www.pexels.com/) ] .pull-right[ > - En el dominio publico<br>(sin necesidad de atribución) > - Gratis con atribución<br>(p.ej. Foto tomada por [Junel Mujar](https://unsplash.com/@junelmujar)) ] --- .pull-left[ ## Para practicar<br>
<br> ] .pull-right[ ### Haz una diapositiva para saludar a tu audiencia ---- Piense en incluir detalles como tu<br> nombre, instituto, ubicación, y/o información de contacto Aqui hay algunas opciones: - practique cambiando [la ubicación](#ubicacion) del contenido en la diapositiva - separa tu contenido con una barra horizontal `----` - agreque una [imagen](#imagenes) o foto - agregue un enlace a una página web o red social ] --- .pull-left[ ## Para practicar<br>
<br> ] .pull-right[ ### Haz una nueva dispositiva y practique agregando contenido de R ---- Aqui hay unas opciones: - agregue una [tabla](#tablas) - agregue un [gráfico](#graficos) ]